🍀 Spring Appointment, Lucky Draw Gifts! Growth Value Issue 1️⃣7️⃣ Spring Lucky Draw Carnival Begins!
Seize Spring Luck! 👉 https://www.gate.com/activities/pointprize?now_period=17
🌟 How to Participate?
1️⃣ Enter [Plaza] personal homepage, click the points icon next to your avatar to enter [Community Center]
2️⃣ Complete plaza or hot chat tasks like posting, commenting, liking, and speaking to earn growth value
🎁 Every 300 points can draw once, 10g gold bars, Gate Red Bull gift boxes, VIP experience cards and more great prizes await you!
Details 👉 https://www.gate.com/announcements/article/
3.4万美元的比特币是否被高估?先弄懂加密资产的基本估值框架
“All models are wrong, but some are useful.”
行情太跌宕,原以为前几天的假新闻原来是有人在抢跑,大饼短期带动牛市回归。
但是这个熊市状况下仅仅依靠ETF的批准就能逆转回牛吗?我觉得悬。小伙伴们注意止盈,落袋为安。
好了,聊点正经的,尽管BTC的价格是个玄学问题,但是我们尽量观摩下是如何定价的。
今天读了一篇由Robert Mitchnick和Susan Athey在18年写的英文论文,《A Fundamental Valuation Framework for Cryptoassets》,即加密资产的基本估值框架。
咱们这篇文章的作者Susan可不是等闲之辈,斯坦佛大学商学院教授,当时也是Ripple Labs的董事会成员。
加密资产的基本估值框架
估值方法:交易价值 + 储蓄价值
在这种对加密资产的估值方法中,整合了货币的两个主要功能:
(i) 交换价值(medium-of-exchange),以持有代币以进行经济交易的目的;
(ii) 储蓄价值(store-of-value),以存储为目的
而模型的核心就是量化这两个功能并捕捉其对价格的转化。
需求
在这个模型中,重要的是综合这两个目的,算出个体期望持有数量的聚合(以美元计)。
尽管在实践中这两者难以分割清晰,但将它们分开使我们能够更准确地建模每个组成部分的基本驱动因素。
因此,我们从以下简单的方程开始:
𝐷=𝑋+𝐼 --------(1)
𝐷 = 总需求价值(以美元计)𝑋 = 交易需求价值(以美元计)𝐼 = 储存需求价值(以美元计)
交易需求
交易需求价值反映了加密资产提供的交易便利性价值。
在这里借鉴货币数量理论来理解交易需求的驱动因素,从货币速度恒等式开始:
𝑀𝑉=𝑌 --------(2)
𝑀 = 货币基数(以美元计)𝑉 = 货币速度(每个货币单位每个周期的平均交易次数)𝑌 = 交易量(每周期以美元计)
注:古典经济学家认为货币流通速度是由影响人们交易方式的制度和技术特征决定的,而制度和技术因素只有在较长时间里才会对货币流通速度产生轻微影响,因此,在短期内货币流通速度相当稳定。
古典经济学家得出名义收入由货币供给的变动决定的结论,是建立在假设货币流通速度为常量的基础之上的,最著名的表达方式是费雪提出的 “交易方程式”,即:MV=PT,其中M为货币供应量,V 代表货币交易流通速度,P 为价格水平(物价指数),T 为全社会的商品和劳务交易总额。
费雪认为V和T虽亦经常变动,但变动程度甚少,最活跃、最多动无常的因素是货币数量M,在V和T不变的条件下,物价水平随着货币数量的变动而正比例地变动。
通过两个简单的步骤,我们可以调整这个方程:
①创建一个变量t,等于1/V,表示货币单位(被分类为用于交易目的的子集)在交易之间保持的平均时间:𝑀/𝑡=𝑌
②观察“货币供应”实际上指的是经济体中所有货币的总价值,也以美元计。因此,M实际上等同于方程(1)中的X(用于交易目的的所有货币的总价值)。
将这些变换组合并重新排列,我们得到:
𝑋=𝑀=𝑌𝑡 --------(3)
𝑋 = 交易需求价值(以美元计)𝑀 = 货币基数(以美元计)Crypto作为交易媒介的总市值𝑌 = 交易量(每天以美元计)t = 每个用于交易目的的货币单位之间的加权平均交易时间(以天为单位)
以货币数量理论为基础构建的先前估值框架,其选择建模速度而不是其倒数(时间),论文中采取了相反的方法,因为这样表达可以更自然地表示行为的基本驱动因素,使建模更容易。
将方程(3)与方程(1)合并得到:
𝐷=𝑌𝑡+𝐼 --------(4)
微博财经博主Degg_GlobalMacroFin在22年初就做过解析,该部分的逻辑核心是:
费雪交易方程式:“MV=PY=交易量”,反推可知M(即crypo作为交易媒介的总市值) =日均交易量/日均流通速度=日均交易量(美元/日)*投资者平均持币时长 (日)。
在这个函数中,假设的变量是:未来至该公链成熟时,该crytpo的交易量年化增速有多少,而该数据可以从历史数据外推。
储蓄需求
加密资产的储蓄需求:由全球人口希望以该加密资产的形式存储价值的总价值(以美元计)所决定的,存储价值被广泛定义为包括所有将货币视为投资资产的人。
该需求实质反映了加密资产在居民未来资产配置中所占据的比例。在本文的模型中,这种需求与交易需求不同的是,个体希望长期储存这个资产,而不是为了进行经济交易。
为了使资产在根本上吸引个人和机构作为投资或价值储存,资产在持有时必须满足以下至少一项标准:
I. 具有内在和持久的物质价值,其增长大致与其他重要资产成比例(例如土地);
II. 在投资持有期间利用投资资本创造经济价值(例如,所有投资资本用于产生经济回报的金融证券);
III. 相信资产被低估,有可能在风险调整基础上看到市场价格异常升值(例如,积极持有的金融证券);
IV. 普遍期望资产将在无限期内广泛接受作为价值工具(例如,黄金、美元)。
以及以下两个标准:
V. 能够安全地存储资产,而无需担心被没收、盗窃或毁坏的风险;
VI. 信心供应资产不会被随意增加。
加密资产不符合标准(I)和(II)。尽管(III)可能是当前加密资产投资者群体的主要动机,但购买被低估的资产的基础是,最终,资产将被正确估值,从而使低估的好处消失。因此,要使加密资产具有可持续的储存需求价值,它必须符合标准(IV)。
目前,加密资产尚未建立足够长时间的广泛承认作为价值标准的历史,以使(IV)成立。随着行业的成熟和采用的增长,这种动态可能随时间而发生转变,从而创造出一个自我实现的采用和可信度循环。
对于像美元这样的工具,可信度是由支撑它的经济体和背书它的机构发展而来的。
对于黄金,其作为价值工具的广泛认可经过数千年的发展。黄金以溢价交易,溢价来自对黄金作为储值工具的需求,基于相信它将继续被用作未来的价值储存。
作为储蓄价值的加密资产的价值可能同样来自对它将来作为价值储存工具有用的信仰。虽然很难建模这种信仰的来源,但一个关键的支持因素可能是发展健全的基础交易经济。
这种交易经济可能促使采用和可信度的良性循环的开始。正是通过这种机制,交易需求价值因此成为推动储蓄需求价值的重要因素。
假设(IV)能够以可信的、可持续的方式实现,那么加密资产将需要满足条件(V)和(VI),否则大规模储蓄需求仍然不太可能发生。
虽然加密资产的区块链在密码学上通常非常安全,但实际上存储这些资产的机制(发生在区块链之外)仍然充满了安全问题。
与通过银行或资本市场存储资产的便利性和安全性相比,对于普罗大众来说,加密资产目前存在较高的盗窃或丧失风险。
然而,随着行业生态系统的成熟,这种动态可能会得到改善,扩大了贡献储存需求的个体群体。
约束(VI)是加密资产的一项普遍吸引人的特点,可能会支持而不是妨碍加密资产用于储蓄目的的吸引力。
一旦根本性储蓄需求的必要条件得以满足,全球需求的规模将由资产的风险和回报前景与个体现有的风险和回报资产组合相互作用的考虑来驱动。
供应
大多数加密资产的供应是固定的且易于测量的,但在市场上存在一些分歧:关于尚未发行的代币或由大型机构持有的代币是否应该被视为供应的一部分。
由于这个模型旨在确定长期的根本价值,最合适的方法是在供应计算中包括所有已存在或将来会发行的代币。
基于这样的假设,市场参与者应该并且将会考虑所有未来流通中的代币对长期价值的影响。
𝑆=𝑁+𝛾/𝜌 --------(5)
𝑆 = 总供应(以单位计)𝑁 = 当前已发行代币的数量𝛾 = 未来将要发行的代币数量或目前由大型机构锁定的代币数量𝜌 = 加密资产网络的分数储备比率
单位价值
为了得出每单位的根本价值,我们必须将总需求价值除以货币的总供应:
𝑣= 𝐷/𝑆 --------(6)
𝑣 = 每单位的根本价值
使用我们迄今为止建立的模型,方程式变为:
𝑣=𝜌(𝑌t+𝐼)/(𝑁+𝛾) --------(7)
这是我们对加密资产每单位的长期根本价值的最终定义。
现值
方程(7)给出了货币每单位的长期根本价值,然后需要将其贴现到今天。
这个长期价值描述了一种“稳态”,在这种状态下,加密资产的用例应用已经成熟,对其的交易需求和储存需求已经稳定下来。
关于适当的贴现率的假设可能会引起市场参与者之间的广泛分歧。
在极端情况下,一些人会认为需要非常高的贴现率来弥补这些资产的非凡波动性。
尽管随着市场的成熟,这种波动性可能会显著下降,但波动性仍然可能超过其他公开交易的资产。
尽管如此,大部分波动性从更广泛的资本市场角度来看是特定的。因此,更合适的贴现率评估需要将资本资产定价模型作为起点。
考虑到这里预测的采用率作为可投资资产的概率非常低,而且加密资产与股权市场之间的相关性在可预见的未来可能接近零或为负,加密资产头寸对于多元化投资者的系统性风险贡献可能接近零或为负。
因此,加密资产的适当贴现率实际上应该接近低β股票证券。
这一主张可能会引发一定程度的争议,因为观察到加密资产投资非常“风险”。
然而,正确处理这种特定风险的方式是在未来价值估计的概率加权中加以考虑。在这里使用高贴现率将“双重计算”资产风险的影响,这在逻辑上是有缺陷的。
也就是说,资产未来可能没有价值的事实已经包含在资产未来预期价值的计算中。这与公司未来可能倒闭的事实相似,这种可能性已经纳入了股票贴现预期价值的计算中。
与股票或其他风险资产一样,如果资产的需求来自多元化的投资者,那么围绕均值的波动性只有在对系统性风险的贡献方面才具有定价的相关性,而零贝塔资产不会对系统性风险产生贡献。
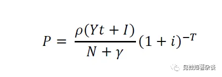
𝑃={𝜌(𝑌𝑡+𝐼)/(𝑁+𝛾)}*(1+𝑖)^(-T) --------(8)
𝑃 = 每单位的根本价值的现值𝑖 = 贴现率(年化)𝑇 = 达到稳定状态的时间(年)
这个最终方程需要估计8个参数。这些参数中的每一个都可以相对明确地估计,为广泛的加密资产提供了严格的估值估计的机会。
参考:
1.金融四十人论坛·贾康《货币流通速度与价格稳定》
2.Frederic S. Mishkin(2010),Monetary Policy Strategy: Lessons from the Crisis,the ECB Central Banking Conference, “Monetary Policy Revisited: Lessons from the Crisis,” Frankfurt, November 18-19;
3.财经博主Degg_GlobalMacroFin于2022/01/22微博。